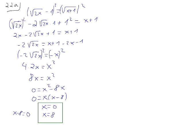
Solució d'alguns dels exercicis de l'has de saber fer del tema 4, equacions i problemes, del llibre de Matemàtiques 4t ESO Editorial Santillana.
La solució d'alguns dels exercicis i problemes del tema.
Aquí hi ha el 83. L'enunciat és ambigu. Hi ha les solucions de les dues possibles interpretacions:









Cap comentari:
Publica un comentari a l'entrada